Das Nebeneinander von baumlosen Wiesen und Weiden auf der einen Talseite und Wäldern voller uralter Lärchen und Arven auf der gegenüberliegenden Talseite, prägt die Landschaft des Averser Obertales. Mithilfe verschiedener Methoden und Quellen wurde die Nutzungs- und Landschaftsgeschichte der letzten 100–150 Jahre im Avers untersucht.
Dr. Matthias Bürgi, Susan Lock
Eine alte Kulturlandschaft im Wandel
Die Waldnutzung im Avers ist geprägt durch die geografische Situation, die Höhenlage und die relativ beschränkte Zugänglichkeit. Die nach Südwesten hin orientierte Flanke des Obertales wurde bereits im Zuge der mittelalterlichen Landnahme für die Gewinnung von Weideland und die Errichtung von Wohnhäusern und Ställen gerodet. Die auf dem Gegenhang verbleibenden Wälder standen unter einem hohen und vielfältigen Nutzungsdruck (Abb. 1).
Unsere historische Analyse fokussiert auf den Zeitraum seit 1900. Räumlich konzentrieren wir uns auf die Entwicklung der drei Waldbestände Capetta-, Cröter- und Hohenhauswald. Die Verhältnisse im Hohenhauswald beschreibt Kurt Patzen in seinem Beitrag in diesem Heft (siehe auch Bildpaar 1 am Ende dieses Artikels). Daher fokussieren wir uns im Folgenden auf Aspekte der Veränderungen der beiden anderen Bestände.
Wer kann Auskunft geben?
In der diesem Artikel zugrunde liegenden Untersuchung (Bürgi und Lock 2022) wurde eine Vielzahl an Quellen ausgewertet.
Die forstlichen Quellen, wie die Waldwirtschaftspläne von 1932, 1956 und 1980, enthalten Daten zur Waldstruktur und vor allem den forstlichen Waldnutzungen. Diese forstliche Perspektive ergänzten wir mit der lokalen Sicht auf die Wälder. Dazu konnten wir sieben Interviews mit Einheimischen im Alter von 64 bis 92 Jahren durchführen. Zusätzlich geben statistische Daten zur Entwicklung der Wohnbevölkerung, der Anzahl Haushaltungen und Landwirtschaftsbetrieben und der Viehzahlen Auskunft über zeitliche Veränderungen. Als weitere wichtige Quelle für die Rekonstruktion der Waldstrukturentwicklung werteten wir Luftbilder aus den Jahren 1933 bis 2015 aus. Komplementär zum Blick auf den Wald aus der Vogelperspektive im Luftbild sind terrestrische Fotografien. Sie zeigen die menschliche Perspektive auf den Wald und geben auch die ästhetische Qualität besser wieder. Durch die Methode der Fotowiederholung können zudem strukturelle Veränderungen sichtbar gemacht werden.
Die Vielfalt der Waldnutzungen
Holznutzung
Der Warenverkehr ins und aus dem Avers war lange Zeit durch den schluchtartigen Abschnitt des Ferreratales zwischen Innerferrera und Campsut stark eingeschränkt. Die Bevölkerung war in ihren Aussenbeziehungen über die Pässe nach Süden hin orientiert und in grossem Masse von den lokal vorhandenen Ressourcen abhängig. Generell waren die Nutzungsmengen von Holz bescheiden und beschränkten sich hauptsächlich auf die Bestände von Cröt talauswärts. Die Nutzung war durch das fehlende Wegenetz erschwert. Zahlreich sind die Schilderungen der Mühen und Strapazen, die mit dem Heranführen von Bau- und Brennholz in die höher gelegenen Ortschaften verbunden waren. Nur wenig Holz gelangte in den Handel, das meiste wurde für den Eigenbedarf verwendet. Zur Brennholzversorgung war das Astholz von Bedeutung, wie auch getrockneter Schafmist, der heute noch als Zeuge der Vergangenheit an einigen Ställen ziegelförmig aufgeschichtet ist.

Abb 1: Während die eine Talseite des Averser Obertales waldfrei ist, finden sich auf der gegenüberliegenden Talseite Wälder mit uralten Lärchen und Arven. (Bild: Susan Lock, WSL, 2022)
Durch den Bau der Talstrasse in den Jahren 1890 bis 1895 drehte sich die hauptsächliche wirtschaftliche Ausrichtung des Tales von Süden nach Norden hin um. In der zweiten Hälfte des 20. Jahrhunderts erfolgte der Bau des Kraftwerks im Valle di Lei, der den weiteren Ausbau der Strasse bis nach Juf und den Ausbau des Stromnetzes mit sich brachte und einen starken Wandel im Avers in Gang setzte, der sich auch auf die Nutzung der Wälder auswirkte. Der Brennholzbedarf ging stark zurück, Elektro- und Ölheizungen wärmten nun die Häuser; ausserdem konnte Brennholz sowie auch Bauholz von ausserhalb bezogen werden.
Waldweide
Durch die Fokussierung der Landwirtschaft auf Viehzucht standen die verbleibenden Wälder über lange Zeit unter starkem Beweidungsdruck. Die höher gelegenen Waldbestände dienten als Frühjahrs- und Herbstweide und als Wetterschutz für die gealpten Tiere und die tiefer gelegenen Wälder waren aufgrund ihrer Nähe zu den Siedlungen als Heimweide von grosser Bedeutung. Diese intensive Waldweide war dem Forstdienst aufgrund der Verbissschäden ein Dorn im Auge und die Ablösung der Weiderechte gab wiederholt Anlass für Konflikte zwischen dem Forstdienst und der lokalen Bevölkerung.
Neben dem Rindvieh, dessen Bestand über die Zeit recht konstant war, gab es bis nach dem Zweiten Weltkrieg im Avers auch noch viele Schafe und Ziegen. Im Zuge des Strukturwandels in der Mitte des letzten Jahrhunderts weg von kleinen Betrieben mit verschiedenen Tierarten, hin zu einzelnen grösseren Betrieben mit zunehmender Spezialisierung auf Mutterkuhhaltung, ging die Zahl der Ziegen und Schafe im Tal drastisch zurück, das Waldweideverbot wurde umgesetzt und vielerorts stellte sich – wie noch zu zeigen sein wird – starke Verjüngung ein.

Abb. 2: Baum mit gut sichtbaren Verletzungen am Stammfuss, die ihm wohl zur Gewinnung von Holzspänen als Anfeuerungshilfe von Hirten zugefügt wurden. (Bild: Susan Lock, WSL, 2022)
Weitere Nutzungsweisen
Über andere nicht-forstliche Nutzungen erfährt man oft auf indirekte Weise in den Verbotsartikeln der forstlichen Rechtsquellen und Waldordnungen. So wird darin das «Streu-, Gras- und Harzsammeln, Rindenschälen und Entasten von Bäumen; Kriesschneiden und Kienholzmachen und das Sammeln von Arvennüsschen» verboten. Letztere waren früher ein Handelsgut und deren Sammeln, z. B. für die Ölgewinnung, stark reglementiert, da teilweise die ganzen Äste heruntergerissen und die Bäume arg verstümmelt wurden. Unter den befragten Zeitzeugen war von diesen Nutzungsweisen nur noch das Sammeln von Arvennüsschen bekannt – als beliebtes «Naschwerk». Ebenfalls im Wald wurden viel und gern Beeren gesammelt, z. B. Preisel- und Heidelbeeren, Johannisbeeren und Roter Holunder, während Pilze für die Einheimischen keine Rolle spielten: «Der Einheimische ist kein Pilzesser.»
Zu dem in den Waldordnungen erwähnten Kienholzmachen lassen sich keine weiteren Quellen für das Avers finden. Auch wurde im Erfahrungszeitraum der Interviewpartner kein Kienholz speziell in den Beständen gesammelt – diese Nutzung liegt weiter zurück in der Vergangenheit. Als weiteres Waldprodukt wurde Moos gesammelt, das zum Abdichten beim Hausbau verwendet wurde. Die an einigen der alten Bäume sichtbaren Verletzungen, die diesen eindeutig mit Werkzeugen zugefügt worden sind (Abb. 2), dienten wahrscheinlich zur Gewinnung von Spänen zum Anfeuern von Hirtenfeuern, aber auch der Förderung des Harzflusses. Harz war ein wichtiges Waldprodukt, was auch im Avers erinnert wird. So diente es als Zugsalbe, zum Schweineschlachten oder als Kaugummi, wobei grössere Mengen aus Harzgallen, z. B. in Brennholzstücken, gewonnen wurden.

Abb. 3a und 3b: Der Capettawald im Averser Obertal im Luftbild von 1957 (links) und im Vergleich des Kronenschlussgrades bis 2015 (rechts). Die roten Linien umfassen die entsprechenden Waldabteilungen. (Grafiken: © swisstopo/WSL)
«In den letzten 50 bis 60 Jahren ist das wie verrückt zugewachsen»
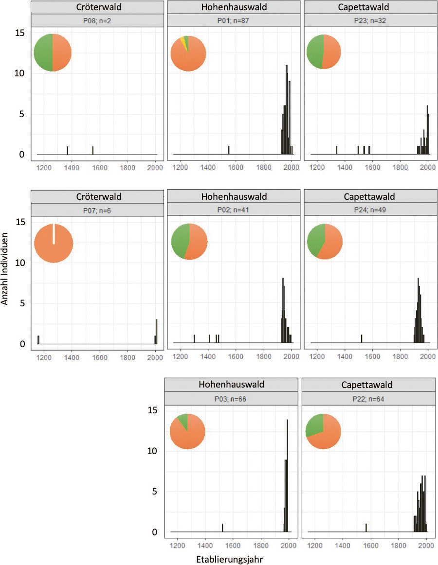
Aufgrund des abnehmenden Nutzungsdruckes sind die Averser Wälder seit Mitte des letzten Jahrhunderts viel dichter geworden, was auch durch die lokale Bevölkerung wahrgenommen wird, wie das Zitat in der Kapitelüberschrift zeigt. Sichtbar wird diese Veränderung eindrücklich in den Fotowiederholungen, die in dieser Ausgabe des «Bündner Wald» enthalten sind, beispielsweise zu dem im Anschluss an den Capettawald im Obertal gelegenen Pürderwald (Bildpaar 2). Dieser Bestand weist auch im Luftbildvergleich (Waldpartie ganz rechts in Abb. 3) die meisten dunkelgrünen Kacheln auf, die für eine starke Zunahme des Kronenschlusses stehen.
Die den Waldwirtschaftsplänen entnommenen Angaben erlauben es, diese Veränderungen in den in Abb. 3 rot umzeichneten Waldabteilungen zu quantifizieren und bezüglich Baumarten zu analysieren (Abb. 4). Gerade in der Periode 1955 bis 1975 haben die Stammzahlen von Lärchen und Arven in der kleinsten Durchmesserkategorie sehr stark zugenommen. Dies ist eine direkte Folge der im Laufe des 20. Jahrhunderts schrittweise erfolgten Aufgabe der Waldweide im Capettawald.

Abb. 4: Entwicklung der Stammzahlen von Lärche (braun) und Arven (grün) im Capettawald (rot umfasster Perimeter in Abb. 3) pro Stärkeklasse, basierend auf den Angaben in den Waldwirtschaftsplänen. (Grafik: Dr. Matthias Bürgi und Susan Lock)
«Es heisst ja schon seit über 100 Jahren der sterbende Cröterwald»
Bis heute stärker durch Weidgang geprägt ist die Waldentwicklung im Cröterwald, der in Teilen immer noch die offene und durch wenige alte Bäume geprägte Struktur aufweist, wie sie vor 100 Jahren nicht nur im Avers, sondern in vielen durch den Weidgang geprägten Wäldern der Schweiz verbreitet war. Der Bestand, der auf der Bildstrecke mit Blick ins Madris zentral im Blick ist (Bildpaar 3), kann also als kulturlandschaftliches Relikt früherer Waldzustände betrachtet werden. Das Zitat der Kapitelüberschrift zeigt, dass sich die Bevölkerung sehr wohl bewusst ist, dass der Zustand des Cröterwaldes immer wieder Anlass zu Sorgen gab, der flächige Zusammenbruch jedoch aufgrund der Langlebigkeit der verbleibenden Bäume ausblieb. Zudem stellt sich in Teilen des Cröterwaldes eine dichte Verjüngung ein, was gerade durch Fotowiederholungen eindrücklich sichtbar wird (Abb. 5).

Abb. 5a (links) und 5b (rechts): Waldbild im Cröterwald mit starker Verjüngung der vergangenen 40 Jahre. Die Formen der Baumwipfel zeigen, dass es sich tatsächlich um denselben Aufnahmestandort handelt.
(Bilder: Johann Stoffel, 1984, Privatsammlung Rubi Brunold (5a); Susan Lock, WSL, 2022 (5b)).
Wald ist nicht gleich Wald
An der Geschichte der Wälder des Avers und ihrer Nutzung zeigt sich eindrücklich, wie sich die Wälder in der Folge der Veränderungen der Nutzungsweise entwickeln. Die lokalen Bedürfnisse entsprechen nicht immer den Absichten und Zielen des Forstdienstes – auch diese Unterschiede werden in den verschiedenen Waldbildern sichtbar.
Waldgeschichtliche Untersuchungen decken diese verschiedenen Perspektiven und ihre Auswirkungen auf die Wälder auf und tragen so zu einem grösseren Verständnis für die Entstehung der heutigen Situation bei. Dieses Verständnis ist nicht nur für historisch Interessierte spannend, sondern ist eine wichtige Grundlage für die Suche nach zukunftsfähigen Waldnutzungskonzepten. Auch dabei gilt es, die verschiedenen Nutzungsinteressen und die darin zum Ausdruck kommenden wirtschaftlichen, sozialen und ökologischen Ziele zu verstehen und entsprechend zu berücksichtigen.
Dr. Matthias Bürgi ist Umweltnaturwissenschafter ETH. Er leitet die Forschungseinheit Landschaftsdynamik an der WSL und ist Professor an der Universität Bern.
Susan Lock ist wissenschaftliche Mitarbeiterin in der Forschungseinheit Landschaftsdynamik an der WSL.
Literatur
Bürgi M., Lock S. (2022) Zur Geschichte der Wälder im Avers. WSL Berichte Heft 127. www.wsl.ch/de/publikationen/ default-99c898c797.html

Bildpaar 1: Ein Luftbildvergleich 1957 bis 2015 zeigt, wie sich der Wald im Madris in den letzten 58 Jahren ausgedehnt und verdichtet hat. (Bilder: © swisstopo/WSL)

Bildpaar 2: Der Pürderwald, die letzten Ausläufer des Capettawaldes, ist im Laufe von 72 Jahren zu einem dichten Wald geworden. (Bild oben: Werner Nägeli, 1950, WSL Bildarchiv; Bild unten: Susan Lock, WSL, 2022)

Bildpaar 3: Im Cröterwald (Bildmitte) hat sich eine halb offene, parkartige Waldstruktur erhalten, wie sie noch Mitte des 20. Jahrhunderts für viele Wälder des Avers charakteristisch war. (Bild oben: Ernst Brunner, 1956, © Schweizerische Gesellschaft für Volkskunde; Bild unten: Susan Lock, WSL, 2022 (Ausschnitt)